與傳統平面MOSFET技術相比,超級結MOSFET可顯著降低導通電阻和寄生電容。導通電阻的顯著降低和寄生電容的降低雖然有助于提高效率,但也產生電壓(dv/dt)和電流(di/dt)的快速開關轉換,形成高頻噪聲和輻射EMI。
為驅動快速開關超級結MOSFET,必須了解封裝和PCB布局寄生效應對開關性能的影響,以及為使用超級結所做的PCB布局調整。主要使用擊穿電壓為500-600V的超級結MOSFET。
在這些電壓額定值中,工業標準TO-220、TO-247、TO-3P和TO-263是應用最廣泛的封裝。封裝對性能的影響有限,這是因為內部柵極和源極綁定線長度是固定的。只有引腳的長度可以改變,以減少封裝的源極電感。
如圖1(a)所示,10nH的典型引線電感看起來不大,但這些MOSFET的di/dt可輕松達到500A/μs!假定di/dt為500A/μs,10nH引線電感上的電壓為VIND=5V;而10nH引線電感的關斷di/dt為1,000A/μs,可產生VIND=10V的電壓。
大多數應用和設計都未考慮到此附加電感也會產生電壓,但這一點不可忽視。以上簡單計算顯示,封裝的總源極電感,即綁定線和引腳電感必須降低至可接受的數值。噪聲的另一個來源是布局寄生效應。
有兩種可見的布局寄生效應:寄生電感和寄生電容。1cm走線的電感為6-10nH,通過在PCB頂部添加一層并在PCB底部添加GND層,可降低此電感值。另一類型是寄生電容。
圖1(b)顯示了布局中容性寄生效應的原理。寄生電容由兩條相近走線之間或走線與另外一側的地平面之間引起。另一種電容為器件和地平面間的電容。
PCB板兩面上的兩個并行走線能夠增加電容,同時還能減少回路電感,從而減少電磁噪聲輻射。下次設計需要超級結MOSFET時,請考慮這些布局提示。


圖2:平面型MOSFET和超級結MOSFET輸出電容的比較
一般來說,有多個振蕩電路會影響MOSFET的開關特性,包括內部和外部振蕩電路。
在圖3的PFC電路中,L、Co和Dboost分別是電感、輸出電容和升壓二極管。
Cgs、Cgd_int和Cds是功率MOSFET的寄生電容。
Ld1、Ls1和Lg1是功率MOSFET的漏極、源極和柵極邦定線以及引腳電感。
Rg_int和Rg_ext是功率MOSFET的內部柵極電阻和電路的外部柵極驅動電阻。
Cgd_ext是電路的寄生柵極-漏極電容。
LD、LS和LG是印刷電路板(PCB)的漏極、源極和柵極走線雜散電感。
當MOSFET打開或關閉時,柵極寄生振蕩通過柵極-漏極電容Cgd和柵極引線電感Lg1在諧振電路內發生。

圖3:包含功率MOSFET內外部寄生元件的PFC電路簡圖
在諧振條件(ωL=1/ωC)下,柵極和源極電壓中生成的震蕩電壓遠大于驅動電壓。因諧振變化而產生的電壓振蕩與品質因數成正比,Q(=ωL/R=1/ωCR)。
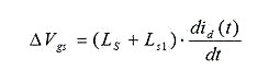
當MOSFET關閉時,漏極寄生電感(LD+Ld1)、柵極-漏極電容Cgd和柵極引線電感Lg1網絡造成柵極振蕩電壓。如果柵極電阻(RG-ext.+Rg_int.)極小,則Q變大。
另外,LS兩端的壓降和Ls1源極雜散電感在柵極-源極電壓中產生振蕩,可用表達式(1)表示。寄生振蕩可能造成柵源極擊穿、不良EMI、較大開關損耗、柵極控制失效,甚至可能造成MOSFET故障。

優化電路設計,最大限度地提高超級結MOSFET的性能而又不產生負面影響非常重要。
〈烜芯微/XXW〉專業制造二極管,三極管,MOS管,橋堆等,20年,工廠直銷省20%,上萬家電路電器生產企業選用,專業的工程師幫您穩定好每一批產品,如果您有遇到什么需要幫助解決的,可以直接聯系下方的聯系號碼或加QQ/微信,由我們的銷售經理給您精準的報價以及產品介紹
聯系號碼:18923864027(同微信)
QQ:709211280

