開關電源的功率損耗與熱耗估算值-開關損耗產生的過程解析
開關模式電源(Switch Mode Power Supply,簡稱SMPS),又稱交換式電源、開關變換器,是一種高頻化電能轉換裝置,是電源供應器的一種。其功能是將一個位準的電壓,透過不同形式的架構轉換為用戶端所需求的電壓或電流。開關電源的輸入多半是交流電源(例如市電)或是直流電源,而輸出多半是需要直流電源的設備,例如個人電腦,而開關電源就進行兩者之間電壓及電流的轉換。
開關電源不同于線性電源,開關電源利用的切換晶體管多半是在全開模式(飽和區)及全閉模式(截止區)之間切換,這兩個模式都有低耗散的特點,切換之間的轉換會有較高的耗散,但時間很短,因此比較節省能源,產生廢熱較少。理想上,開關電源本身是不會消耗電能的。電壓穩壓是透過調整晶體管導通及斷路的時間來達到。相反的,線性電源在產生輸出電壓的過程中,晶體管工作在放大區,本身也會消耗電能。開關電源的高轉換效率是其一大優點,而且因為開關電源工作頻率高,可以使用小尺寸、輕重量的變壓器,因此開關電源也會比線性電源的尺寸要小,重量也會比較輕。
若電源的高效率、體積及重量是考慮重點時,開關電源比線性電源要好。不過開關電源比較復雜,內部晶體管會頻繁切換,若切換電流尚加以處理,可能會產生噪聲及電磁干擾影響其他設備,而且若開關電源沒有特別設計,其電源功率因數可能不高。
電源在為負載提供能量的同時也在燃燒自己,在電源設計時大家會很仔細的去分析負載的需求,但是容易忽略電源芯片或者其外圍器件的熱耗,對電源熱耗的評估的目的是為了保證電源始終工作在一個安全的狀態(不會被熱保護或者燒毀)。評估熱耗的第一步工作是計算電源方案的耗散功率(被損耗掉的功率),評估耗散功率有兩種方法,黑盒和白盒。
一、黑盒方式評估電源的耗散功率
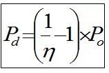
電源芯片及外圍的器件的熱耗占電源的輸入總功率的比例就是電源的效率,所以我們可以從電源的效率反推得到電源的耗散功率,如圖1.1。

圖 1.1 電源的功率傳輸
由圖1.1推導得知耗散功率的計算公式如下:

上圖是從效率和輸出功率Po反推得到耗散功率的。為什么要選擇輸出功率而不是輸入功率呢?因為輸出功率的數據比較容易取得,就是負載的實際需求,相比之下輸入電壓的范圍比較寬泛,所以輸入功率比較難定量得到。
那么電源效率的數據如何去獲取呢?很簡單,如果是線性穩壓器,那么效率就是輸出電壓與輸入電壓的比值(V0/Vin),因為輸出電流約等于輸入電流;如果是開關電源,電源效率可以估為85%,如需要更為精確可以查芯片規格書的圖表,如圖1.2示例。

圖 1.2 某電源芯片的效率圖表示意
二、白盒方式計算電源的耗散功率
線性穩壓器的原理單純且多為集成模塊,所以了解如何使用黑盒方式計算耗散功率一般已經足夠。相比之下開關電源的集成度較弱,所以有時候需要分解子模塊且單獨計算其耗散功率,這就是所謂的白盒模式。本文均以Buck為例,其它拓補形式可自行類推。
在BUCK電路的技術演變過程中出現了兩個小分支,同步Buck與非同步Buck。兩者的外觀差異明顯很好區分,有上下兩個MOSFET管的Buck叫同步Buck;只有上管MOSFET,續流管是肖特基二極管的Buck叫做非同步Buck。同步Buck是后面發展出來的技術,使用MOSFET來代替續流二極管降低了導通壓降,所以提升了電源效率,當然需要額外增加一套MOSFET驅動電路成本有所上升。

圖1.3 同步與非同步Buck
開關電源損耗
開關電源的損耗主要由兩大塊組成,路徑損耗與開關損耗。
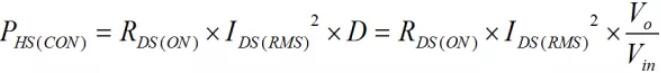
1、路徑損耗(傳導損耗):大電流路徑上的內阻上的損耗。以BUCK為例,路徑損耗包括上臂MOSFET的內阻損耗,電感的寄生阻抗(DCR)上的損耗及下臂MOSFET或者續流二極管上的損耗。
2、開關損耗:開通和關閉MOSFET過程中的損耗,與開關頻率成正比。
一、理解開關損耗
路徑損耗比較好理解,很直觀,我們來著重介紹一下開關損耗的產生原因。如圖1.4所示,上橋臂MOSFET的漏極連接至Vin,而源極連接至相位節點。當上橋臂開始開啟時,下橋臂MOSFET的體二極管(非同步BUCK同理)會將相位點箝位為低于地電壓(負壓)。這種很大的漏-源電壓差及且上橋臂MOSFET也以開關方式傳輸轉換器的完全負載電流,所以在開關過程中產生了開關損耗。

圖1.4 Buck的開關損耗示意

圖1.5 MOSFET的寄生電容
圖1.5是MOSFET的寄生電容示意,圖1.6是上橋臂MOSFET的開關損耗圖形,這是理想圖形并假設柵極電流是恒定的。開關損耗的產生機理與MOSFET的寄生電容相關。

圖1.6 上橋臂MOSFET的理想開關損耗圖形
開關損耗產生過程詳細分析:
1、在時間段t1開始時,當MOSFET驅動器開始向MOSFET的柵極提供電流時,VGS(MOSFET 的柵 - 源電壓)開始上升。在此期間,將對輸入電容 Ciss(CGS + CGD)進行充電,而 VDS(MOSFET 的漏 - 源電壓)保持恒定。此時不存在漏 - 源電流,因此,在此期間沒有開關損耗。==>VGS小于閾值,MOSFET未開啟,無損耗。
2、在時間段 t2 開始時, VGS 電壓超出柵 - 源閾值電壓(VGS(TH))。電流開始從漏極流向源極,同時 Ciss繼續充電。該電流將線性上升,直到 Ids 等于電感電流 IL 為止。由于 MOSFET 上存在等于 VIN 的電壓降,并且電流Ids 流過器件,所以此期間存在顯著的開關損耗。==>VGS大于閾值,MOSFET開閘,損耗遞增,頂點為輸出電流正好滿足負載需求處。
3、在時間段 t3 期間, Ids 電流保持恒定, Vds 電壓開始下降。雖然漏 - 源電壓在下降,但幾乎所有的柵極電流都于對 CGD 進行充電。由于幾乎沒有柵極電流用于對 CGS充電,所以柵 - 源電壓在一個稱為“開關點”電壓(VSP)的電壓下保持相對平坦。該區域通常稱為米勒平坦區(Miller Plateau)。在此時間段期間,類似于 t2,也存在漏 - 源電壓降,并且有顯著電流流過器件。因此,t3 是開關周期會產生損耗的一個時間段。==>VGS電平進入僵持階段,MOSFET通道的深度加強,VDS壓差下降,損耗遞減,為轉折點。
4、在超出時間段 t3 時,MOSFET 通道增強,最高至 VGS達到其最大值的電壓點。開關損耗已經停止,傳導損耗開始出現,直到上橋臂 MOSFET 關閉為止。關閉事件的情形是非常類似的,以開啟事件的相反形式發生。===>VGS電平突破僵持繼續上升,MOSFET的通道繼續增強,開關損耗退出舞臺,傳導損耗登場。
MOSFET的關閉過程的損耗與上述描述類似,步驟相反而已,所以開關損耗包括開啟和關閉兩部分,經提煉計算公式如下。

同步Buck還有一個下臂MOSFET,但是它是接近零電壓開啟的也就是沒有像上管那樣會有巨大的Vds壓差,所以下臂MOSFET的開關損耗是不被討論。
(二)、傳導損耗的計算
1)、MOSFET的傳導損耗,上下臂MOSFET的表述一致只是所占時間段不一樣,用占空比區分。
上臂MOSFET的傳導損耗:

下臂MOSFET的傳導損耗(只針對同步Buck):

2)、續流二極管的傳導損耗(只針對非同步Buck)

VFD為續流二極管的正向導通壓降。
3)、電感損耗

請注意,該功率損耗并不取決于占空比,因為電感總是進行傳導。
(三)、其它損耗的分析
MOSFET除了開關和傳導損之外,還有少量損耗由于其它因素引起的,因為所占比重較低,所以在非精確計算時一般被忽略。
1)、對柵極寄生電容充電引起的損耗,上下臂MOSFET的計算方式一致,公式如下:

2)、同步Buck的下臂MOSFET的體二極管的反向恢復損耗:

3)、每個開關周期對上下臂MOSFET的輸出電容Coss(Cgd+Cds)進行充電引起的損耗:

4)、當同步降壓轉換器中的兩個開關均關閉時,下橋臂 MOSFET 的體二極管將開啟。在此期間(稱為死區(Dead Time,DT)),體二極管中將出現傳導損耗。這些損耗可以描述為:

請注意,該公式中的 DT 包含上升沿和下降沿之和。
5)、芯片本身損耗

三、黑盒和白盒的協同
白盒和黑盒兩種計算方式各有千秋,黑盒方式雖簡單粗暴但是有效,白盒方式雖精打細算但是很多參數無法精確獲得。譬如 RDS(ON) 取決于器件的結溫,而損耗會使結溫升高,為了得到精確的結果,需要進行迭代計算,這些迭代必須執行到器件的結溫穩定(通常到 < 1%)為止,這無疑增加了計算的復雜性和難度。
在工程應用中,我們需要避免復雜的計算公式,所以比較簡便實用的方式是先用黑盒的方式計算得到電源的整體耗散功率,然后使用白盒方式計算外圍關鍵器件的耗散功率,兩者相減就是在芯片上耗散的功率,然后再根據熱電阻等參數進行熱耗分析。開關電源的關鍵外圍器件一般就是電感、續流二極管或MOSFET,所以計算比較簡單。
四、熱耗分析
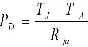
耗散功率的計算最后需要換算為熱耗才會有實際意義,這是是否需要額外增加散熱措施的參考依據。
耗散功率與熱耗之間的聯系紐帶是熱阻,如圖1.7與1.8所示

圖1.7 無散熱片的熱阻

圖1.8 帶散熱片的熱阻計算
在進行熱耗分析時,根據內核至環境的熱阻Rja及芯片的耗散功率Pd可估算出芯片在特定的環境溫度Ta下的內核溫度Tj,以芯片的內核溫度Tj是否超過了極值Tjmax作為判斷芯片是否安全的依據。計算公式如下:

開關電源主要用途
開關電源產品廣泛應用于工業自動化控制、軍工設備、科研設備、LED照明、工控設備、通訊設備、電力設備、儀器儀表、醫療設備、半導體制冷制熱、空氣凈化器,電子冰箱,液晶顯示器,LED燈具,通訊設備,視聽產品,安防監控,LED燈帶,電腦機箱,數碼產品和儀器類等領域。
開關電源基本組成部分
開關電源大致由主電路、制電路、檢測電路、輔助電源四大部份組成。
1、主電路
沖擊電流限幅:限制接通電源瞬間輸入側的沖擊電流。
輸入濾波器:其作用是過濾電網存在的雜波及阻礙本機產生的雜波反饋回電網。
整流與濾波:將電網交流電源直接整流為較平滑的直流電。
逆變:將整流后的直流電變為高頻交流電,這是高頻開關電源的核心部分。
輸出整流與濾波:根據負載需要,提供穩定可靠的直流電源。
2、控制電路
一方面從輸出端取樣,與設定值進行比較,然后去控制逆變器,改變其脈寬或脈頻,使輸出穩定,另一方面,根據測試電路提供的數據,經保護電路鑒別,提供控制電路對電源進行各種保護措施。
3、檢測電路
提供保護電路中正在運行中各種參數和各種儀表數據。
4、輔助電源
實現電源的軟件(遠程)啟動,為保護電路和控制電路(PWM等芯片)工作供電。
烜芯微專業制造二極管,三極管,MOS管,橋堆20年,工廠直銷省20%,1500家電路電器生產企業選用,專業的工程師幫您穩定好每一批產品,如果您有遇到什么需要幫助解決的,可以點擊右邊的工程師,或者點擊銷售經理給您精準的報價以及產品介紹
烜芯微專業制造二極管,三極管,MOS管,橋堆20年,工廠直銷省20%,1500家電路電器生產企業選用,專業的工程師幫您穩定好每一批產品,如果您有遇到什么需要幫助解決的,可以點擊右邊的工程師,或者點擊銷售經理給您精準的報價以及產品介紹

